Aktuelles
Kirchenkreis
Gemeinden
Angedacht
Loccumer Bildungsorte
Wir für Sie
Archiv
Home
Aktuelles
2024
Kirchenkreis Stolzenau-Locc...
2025
2024
Pastor Marco Voigt wird neuer Superintendent im Kirchenkreis Stolzenau-Loccum
Ankündigung Krimi-Musik
Aufstellungspredigten für das Amt des Superintendenten
Zwei Kandidaten bewerben sich um das Amt des Superintendenten im Kirchenkreis Stolzenau-Loccum
12-teilige Bibelabendreihe zur Apokalypse des Johannes
Seit vielen Jahren oder ganz neu – neue Kirchenvorstände im Kirchenkreis Stolzenau-Loccum beginnen ihre Amtszeit
Wiedensahler Posaunenchor feiert 125-jähriges Jubiläum
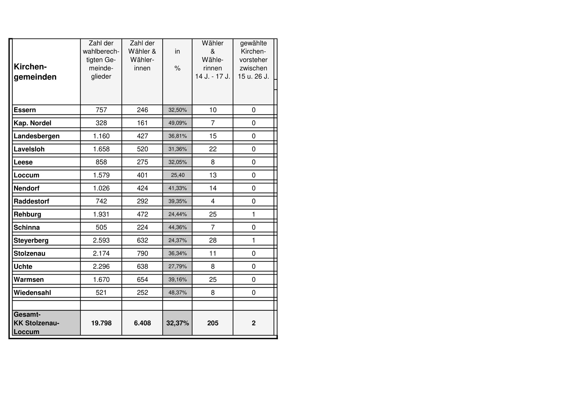
Kirchenkreis Stolzenau-Loccum - Kirchenvorstandswahl am 10. März 2024 Statistik am Wahlabend
Einführung von Frau Sabine Schiermeyer als Regionalbischöfin in Ostfriesland-Ems
Neue Schwangeren- und Schwangerschaftskonfliktberaterin
Fortbildung zum Weltgebetstag 2024
Verabschiedung von Frau Sonnenberg-Westhoff
Verabschiedung von Superintendentin Frau Schiermeyer
Handglockenchor Wiedensahl gewinnt beim Niedersächsischen Orchesterwettbewerb
Sindy Meier-Kimmel ist die neue Pastorin in Leese
Pfarrverwalterin Simone Schad-Smith in Loccum zur Pastorin ordiniert
Regionalbischöfin Dr. Petra Bahr ordiniert Pfarrverwalterin Sindy Meier-Kimmel am Samstag, 14. Dezember in Leese zur Pastorin
Regionalbischöfin Dr. Petra Bahr ordiniert Pfarrverwalterin Simone Schad-Smith am Sonntag, 8. Dezember in Loccum zur Pastorin
Oberkirchenrätin Andrea Furche wird in den Ruhestand verabschiedet
Brot für die Welt
Entsendung der Delegation in den Partnerkirchenkreis in Südafrika
Reformationskonzert 2024
Kirchenkreis entsendet Delegation in den Partnerkirchenkreis in Südafrika
Sven Heindorf wird Wunstorfer Kirchenamt leiten
Kirchenkreis führt neue Mitarbeiterinnen ein
2023
2022
2021
Kirchenkreis Stolzenau-Loccum - Kirchenvorstandswahl am 10. März 2024 Statistik am Wahlabend
Veranstaltung
10. März 2024
teilen